
فشار و یکاها
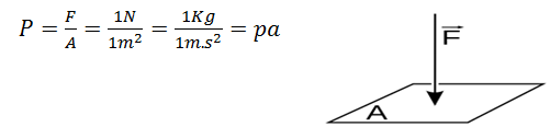
فشار یک کمیت اسکالر است که به صورت نیرو F بر واحد سطح A تعریف می شود. واحد آن پاسکال Pa است که به صورت (N/m²) تعریف می شود. به عبارتی یک پاسکال برابر با نیروی یک نیوتون وارد بر سطح یک مترمربع است.
پاسکال با نماد Pa در دستگاه بین المللی یکاها(SI) نمایش داده می شود. به بیانی دیگر هنگامی که نیروی F به یک سطح مشخص A اعمال میشود، تنش(Stress) در اجزای آن سطح بهوجود میآید که باعث فشرده شدن اجزای تحت تنش میشود. هرچه نیرو به سطح کوچکتری وارد شود، فشار بیشتری ایجاد میشود. اگر نیروی وارد به یک سطح مشخص افزایش یابد. فشار وارد به سطح بیشتر میشود. میزان نیروی وارد بر یک سطح را بهعنوان فشار تعریف می کنند که با نماد P نمایش داده میشود :
سایر واحدهای اندازه گیری فشار
به جز پاسکال که یکای بین المللی فشار است واحد های دیگری نیز وجود دارند که به شرح زیر هستند.
پوند بر اینچ مربع یا به عبارت دقیقتر نیروی پوند بر اینچ مربع :
با نماد lbf/in2) psiیا lbf/sq.in) یکی از یکاهای فشار، بر پایهٔ یکاهای آوردپویز (Avoirdupois) است و به فشار حاصل از نیروی یک پوندی بر سطح یک اینچ مربع گفته میشود.
هر پوند بر اینچ مربع تقریباً برابر 6894.757 پاسکال است.
تور (Torr):
یکی از یکاهای غیر SI برای اندازهگیری فشار است. یک اتمسفر استاندارد برابر 760 تور است.این یکا به گونهای گزینش شده است که با تقریب اندکی برابر فشار حاصل از یک میلیمتر جیوه باشد، بنابراین فشار یک تور تقریباً برابر با فشار حاصل از یک میلی متر جیوه است.
این یکا به یاد اوانجلیستا توریچلی (Evangelista Torricelli) نامگذاری شده است. فیزیکدان و ریاضی دان ایتالیایی که اصول عملکرد فشارسنج را در 1644 میلادی کشف کرد.
اتمسفر : (atm)
یکایی است که معمولاً جهت اندازهگیری فشار هوا و سیالات به کار گرفته می شود، یک اتمسفر برابر با فشار ناشی از ستون آبی به ارتفاع ده متر است.
اتمسفر فنی (at) :
از نماد های غیر SI است که برای اندازه گیری فشار استفاده می شود. یک اتمسفر فنی برابر است با یک کیلوگرم نیرو بر مجذور سانتی متر(cm2)به عبارتی Kgf/cm2.
بار (bar) :
نام یکایی برای کمیت فیزیکی فشار، معادل 100 کیلو پاسکال و تقریباً معادل فشار یک جو است. این یکا در زمره واحدهای سیستم بینالمللی و همچنین CGS قرار ندارد اما از واحدهای پذیرفتهشده با استاندارد SI است.
بار (bar) در کشورهای اروپایی کاربرد زیادی دارد و علت آن اختلاف حدود یک درصدی با فشار اتمسفر زمین است.
واحد bar نخستین بار به وسیله هواشناس انگلیسی، ویلیام نایپرشاو در 1909 میلادی (1288 خورشیدی) و میلی بار توسط ویلهلم بجرکنس( Vilhelm Bjerknes) مطرح شد.
میلیمترجیوه (mmHg) :
از واحدهای اندازهگیری فشار است. این یکا مانومتریک است و بر اساس چگالی جیوه و شتاب گرانشی زمین بیان میشود. هر۷۶۰ میلیمتر جیوه برابر یک اتمسفر است.
معمولاً فشار خون با استفاده از این یکا بیان میشود.
متر آب (meter/H2O) :
یکایی است که برای محاسبهٔ فشار در مکانیک سیالات بهکار میرود و فشار معادل با یک ستون آب به ارتفاع یک متر است
دین بر سانتی متر مربع (dyn/cm2):
دین بر مجذور سانتی متر یکی از یکا های قدیمی اندازه گیری فشار در سیستم CGS است. دین برگرفته از واژهٔ یونانی δύναμις یا dynamis به معنی توان و نیرو است که معادل 10 میکرو نیوتن است.
دانلود فایل مرتبط با فشار و یکاها
دانلود ویدیوی آموزشی فشار و یکاها









